找回密码
 立即注册

[大小六壬] 《六壬断案秘诀》研易楼旧藏本💰5

[复制链接]
发表于 2025-10-6 22:20:07 | 显示全部楼层 |阅读模式
《六壬断案秘诀》研易楼旧藏本,【经藏】此书乃研易楼旧藏,题东方朔秘占,抄写精良。
页数:171页
内容:
序文、天时门、岁月门、科目门、官禄门、又官禄门、
求财门、家宅门、疾病门、趋谒门、谋望买卖门、
子息门、出行门、行人门、词讼门、逃亡门、
失脱门、觅访门、杂占门、分野。

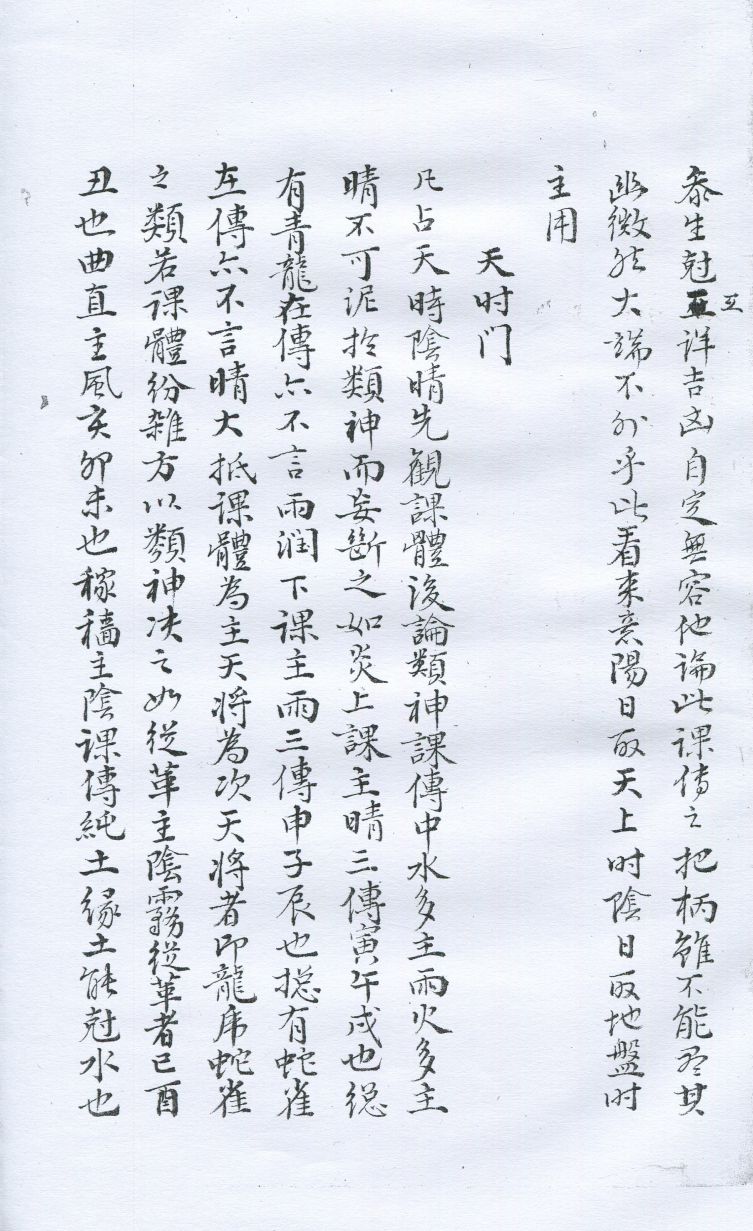
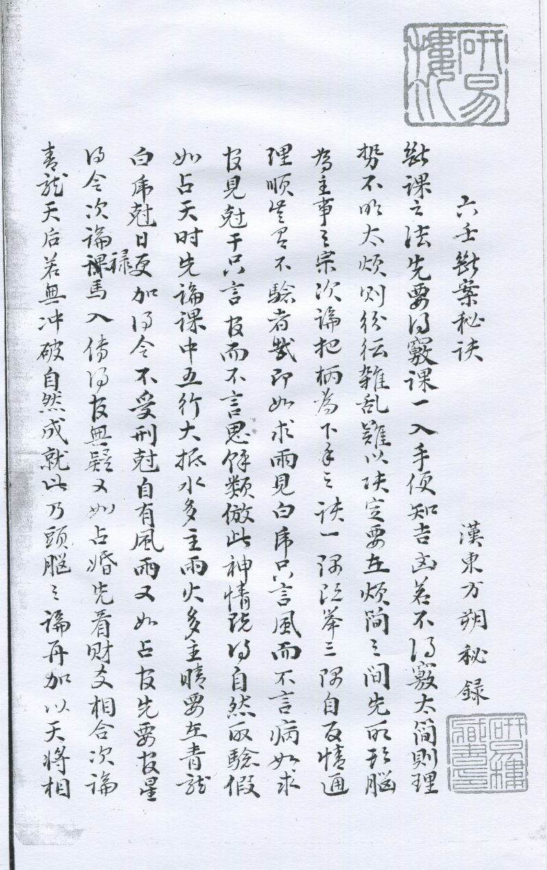
六壬断案秘诀,汉东方朔秘录,断课之法,先要得窍,课一入手,便知吉凶。若不得药, 太简则理势不明,太烦则纷纭杂乱,难以决定,要在烦简之间,先取头脑为主事之宗,次论把柄为下手之诀,一隅泛举,三隅自反,情通理顺,岂尽不验者哉?即如求雨, 见白虎只言风雨而不言病∶ 如求官,见克干只言官而不言鬼, 余类仿此。神情既得, 自然取验。假如占天时,先论课中五行,大抵水多主雨,火多主晴,要在青龙白虎克日,更加得令不受刑克,自有风雨。又如占官,先要官星得令,次论禄马入传,得官无疑。又如占婚,先看财圣相合,次论青龙天后,若无冲破,自然成就。此乃头脑之论,再加以天将相参,生克互详,吉凶自定。无容他论。此课传之把柄。虽不能尽其幽微,然大端不外乎此。看来意阳日取天上时,阴日取地盘时主用。
高清无水印资料下载购买请下拉到底部:
网站没有到的资料请加客服微信:rbt7688
温馨提示:你目前看到的图片是截屏图片,原资料清晰度会更高
1 (1).jpg

1 (2).jpg

1 (3).jpg

1 (4).jpg

1 (5).jpg

免责声明:
(1)站内所有资源均来自互联网收集或用户上传分享,本站不拥有此类资源的版权
(2)古籍国学资源网作为网络服务提供者,对非法转载,盗版行为的发生不具备充分监控能力.但是当版权拥有者提出侵权指控并出示充分版权证明材料时,古籍国学资源网负有移除盗版和非法转载作品以及停止继续传播的义务
(3)古籍国学资源网在满足前款条件下采取移除等相应措施后不为此向原发布人承担违约责任或其他法律责任,包括不承担因侵权指控不成立而给原发布人带来损害的赔偿责任
以上内容如果侵犯了你的权益,请联系客服微信:rbt7688 我们将尽快处理


服务说明:
(1)资源来源于网络公开发表文件,所有资料仅供学习交流;
(2)金钱仅用来维持网站运营/文件整理费,性质为用户友情赞助,非购买文件费用(1元=1金钱);
(3)极个别百度网盘分享链接失效,请加客服微信:rbt7688
(4)虚拟资源不是实物,不发快递,仅供百度网盘下载使用。
(5)不用担心不给资料,如果没有及时回复也不用担心,看到会立发给您,信誉值万金!

温馨提示:
部分玄学、武术、医学等资料非专业人士请勿模仿学习,仅供参考,安全至上

常见问题
(1)如何购买?
先注册→→后登录→→再点击【立即购买】进行付款。/或者也可以直接不注册,直接点击【立即购买】进行付款
(2)付完款后,在哪儿下载/获取资料?
方法① : 确认付款后→→点开紫色的【立即下载】→→点击进去就能看到资源获取的方式,保存下来就行。
方法② : 点击右上角【人像标志】,也就是登录处旁边的【提醒】→→→→购买记录→→下载。
方法③:加客服微信:rbt7688 直接发文件或者邮箱、QQ等多种方式直发。
(3)资源获取方式?
百度网盘发货(国内用户都是使用这个),非实物,无快递物流。因虚拟资源具有可复制性,一经发出,概不退换。
(4)金币是什么意思
1金币=1元。金币仅用来维持网站运营/文件整理成本,性质为用户友情赞助,非购买文件费用,购买即代表同意此观点

资源下载
(1)1金钱=1元。金钱仅用来维持网站运营/文件整理成本,性质为用户友情赞助,非购买文件费,购买即代表同意此观点
购买/下载后,任何问题联系客服微信:rbt7688
(2)建议登录下单,可随时再次查看下载地址。部分手机浏览器支付后无法自动跳转显示下载地址!(建议注册账号登录下单或者联系客服发送
(3)部分资料仅登录可见!







微信/支付宝购买

 支付下载 

您需要登录后才可以回帖 登录 | 立即注册

本版积分规则

QQ|手机版|古籍秘籍易学国学资源网 |网站地图

GMT+8, 2025-12-6 20:28 , Processed in 0.143823 second(s), 29 queries .

快速回复 返回顶部 返回列表