找回密码
 立即注册

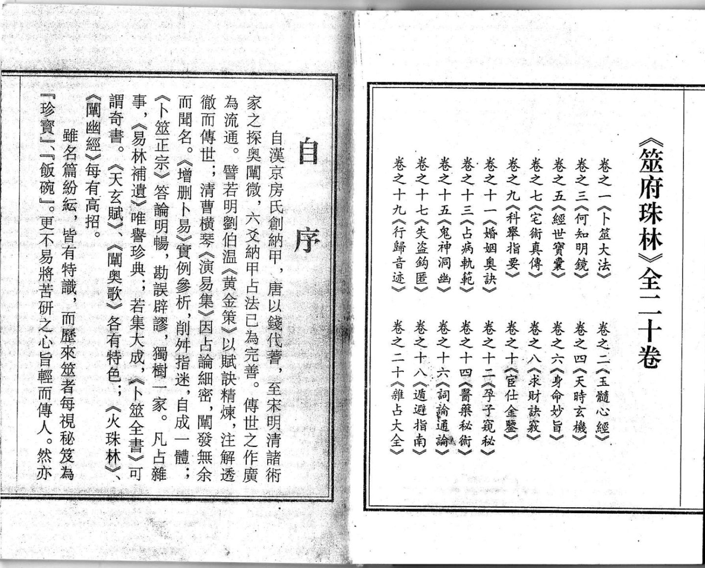
[占卜/六爻] 《筮府珠林》20卷 六爻大全精华合集💰15

[复制链接]
发表于 2025-9-23 19:21:18 | 显示全部楼层 |阅读模式
《筮府珠林》20卷,六爻大全类书籍,同时又是各种精华古籍合集。

〈筮府珠林〉又名〈卜筮秘笈宝藏〉,全著共二百零六卷,搬百家之精华,贯万易之心髓。全著集录〈演易集〉、〈筮镜〉、〈黄金策〉、〈易谱〉、〈易林补遗〉、〈易冒〉、〈阐幽经〉、〈文王课秘传〉、〈易心诀〉、〈卜筮正宗〉、〈断易全书〉、〈照幽灯〉、〈断易参补〉、〈洞幽窥机〉、〈天玄赋〉、〈阐奥歌〉、〈易林窥余〉、〈卜筮集锦〉、〈海底眼〉、〈玉髓秘要〉、〈金锁玄关〉、〈七采丹囊〉等三十余部卜筮经典,以及曹子虚、郭璞、乌角先生、叶道元、鬼谷子、刘白头、玉冠道人、野奄、麻衣子、孙膑、李淳风、袁开罡、吉安道人、阴宏道、邱寺丞、王辅嗣、野鹤老人、纯元子、严君平、张子房等数十位古代易学大题的研易心得汇编而成,是经验和智能的集结,是断易的至高境界,技法全面细密,论例并举,同时增补了历来卦师秘而不传的灾厄化解法,如禳解、祝由、符镇等,可谓历来断易技法秘窍最全齐的巨著,堪称“绝世珍典”、“无价之宝”。

| ├──筮府珠林
| | ├──筮府珠林卷一.pdf 29筒子页 58单页
| | ├──筮府珠林卷二.pdf 31筒子页 62单页
| | ├──筮府珠林卷三.pdf 16筒子页 32单页
| | ├──筮府珠林卷四.pdf 23筒子页 46单页
| | ├──筮府珠林卷五.pdf 32筒子页 64单页
| | ├──筮府珠林卷六.pdf 34筒子页 68单页
| | ├──筮府珠林卷七.pdf 51筒子页 102单页
| | ├──筮府珠林卷八.pdf 31筒子页 62单页
| | ├──筮府珠林卷九.pdf 18筒子页 36单页
| | ├──筮府珠林卷十.pdf 25筒子页 50单页
| | ├──筮府珠林卷十一.pdf  30筒子页 60单页
| | ├──筮府珠林卷十二.pdf  25筒子页 50单页
| | ├──筮府珠林卷十三.pdf  41筒子页 82单页
| | ├──筮府珠林卷十四.pdf  24筒子页 48单页
| | ├──筮府珠林卷十五.pdf  34筒子页 68单页
| | ├──筮府珠林卷十六.pdf  22筒子页 44单页
| | ├──筮府珠林卷十七.pdf  29筒子页 58单页
| | ├──筮府珠林卷十八.pdf  27筒子页 54单页
| | └──筮府珠林卷十九.pdf  35筒子页 70单页
| | └──筮府珠林卷二十.pdf  32筒子页 64单页

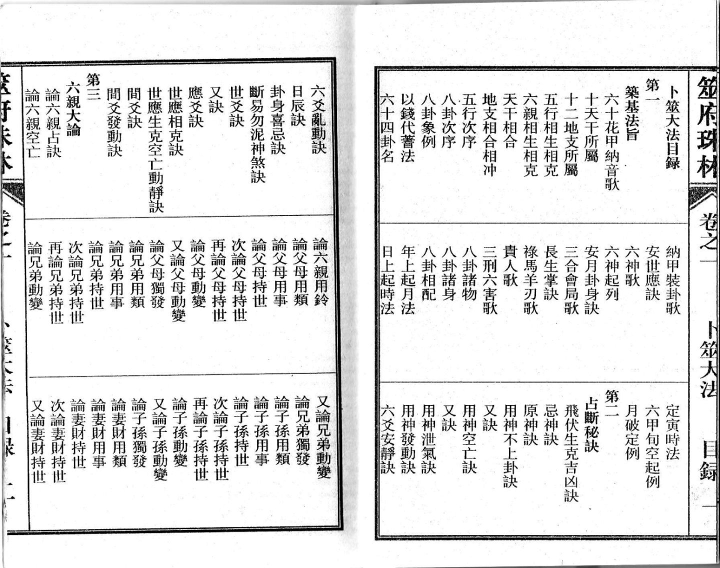
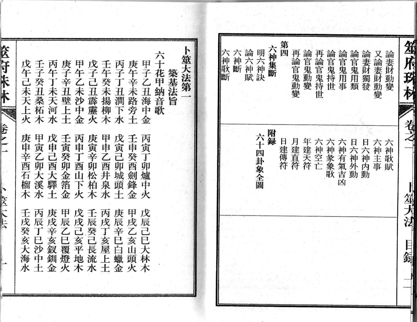
第一册《卜筮大法》四卷
筑基法旨,占断秘诀,六亲大论,六神集断。
第二册《玉髓心经》六卷
大易心法;六十四卦吉凶歌、碎金赋、通玄赋、洞玄赋、烛微赋、天玄赋、千金赋、卦义爻辞断诀、易心诀、通幽论、十八论、卜易提纲捷诀、易林补遗总断、易冒总断。
第三册《何知明镜》四卷
先知妙诀;增补断易秘诀、过去未来诀、来意诀、来情诀、期日诀、易心诀、何知秘诀、何知通论、何知妙经、射覆、人事、姓字、身命形性、洞幽窥机。
第四册《天时玄机》九卷
专论天时之晴雨,或狂风怒号,或电掣金蛇,或阴雾朦胧,或浓云密布,或暴雨倾盆,或细雨连绵,或咸仰晴光,或薄云淡霞,或热闷晦沉,或天寒地冻,或红轮当照,或忽晴忽雨,或赤地千里,或泛滥成灾,以及雹、雪、霜、雾等诸断。
第五册《经世宝囊》上、中、下三篇十四卷
上篇年时占,四卷。专论年时之否泰,或瘟疫洪荒,或水旱兵灾,或雨顺风调,或年丰岁稔等诸断。
中篇国朝占,五卷;凡占朝廷之大象、政令、君臣、黎庶、或迁都建庙,或择后立储等诸断。
下篇征战占,五卷。凡占敌我双方之兵力、谋略、出师、方向、将帅、先锋、粮草、埋伏、诈降、圈套、奸细、挑畔、进功、坚守、突击、阻杀、包围、追兵、偷袭、援军、接应、退却、兵器、寨营、土气、纪律、局势、安危、胜败、和解、投诚、或水陆攻守,或内应火攻,或防刺行刺,或求济求援,或敌来被困等诸断。
第六册《身命妙旨》十卷
凡论人之性情、容貌、才智、品德、贵贱、事业、婚姻、爱好、特长、地位、学识、荣誉、志向、修养、子女、寿数以及流年财运吉凶等诸断。
第七册《宅术真传》十七卷
凡论房屋之地基、建造、修理、装饰、分居、买卖、租赁、搬迁、拆建、朝向、间数、人口、门路、床灶,以及附近之道路、桥梁、墩埂、石冈、庙社、坑厕、檐角、坟墓、冷路、窑灶、瓦流、枯池、废基、败社、神祟、巷牌、松柏、篁竹、枯树、石树、石敢当等有无冲妨,并附:“阳宅化煞解灾法”一百多类。
第八册《求财诀窍》十二卷
凡论贸易、卖买、开店、造作、工技、借贷、赌博、放息、收债、进货、脱货,或财利之有无,或货物之贵贱,或价格之涨落,或得财之难易,或地头之闹静,或店面之优劣,或同伙之奸直,或牙人之诈伪等诸断。
第九册《科举指要》八卷
凡论儒业科举之会试、乡试、武试、复习、题目、复试、搜检、教授、名次、分数、或名标金榜、或名落孙山等诸断。
第十册《宦仕金鉴》九卷
凡论仕宦之选举、职位、俸禄、封赏、权限、升迁、任所、任期、退复或职居风宪,或官在贰司,或出征剿捕,或巡察四方,或镇守边陲,或朝中辅翼,或奏陈谏诤,或诽谤遭贬,或加官赠禄等诸断。
第十一册《婚姻奥秘诀》十二卷
凡论婚姻之缘份、媒妁、门第、容貌、德行、富贫、贵贱、赘婿、配仆、纳妾、冲喜、去留、聘仪、或恩爱琴瑟、或离异妨克等诸断。
第十二册《孕子窥秘》十卷
所论胎产之虚实,产期之安吉,男女之识别,子女之俊秀,或肥大弱小,或愚碌聪慧,或福贵贱卑,或堕胎空娠,或伤胎难产,以及何时受孕,何时临产等诸断。
第十三册《占病轨范》十三卷
凡论疾病之症候、病源、病因、病情、防疫、真假、护养、避暑、治疗、禁忌、轻重、安危、何日得病,何处得病,因何而得,何日病凶,何日病退,何日康复等诸断。
第十四册《医药秘术》十卷
所论诸病之症候、用药,何方求医,何法医治,用何药物,或医师技能高明否,药对症否,或休养自愈,或祈禳而愈等诸断。并附《万寿仙书?去病延年六字法》:吹肾气诀,呵心气诀,嘘肝气诀,泗肺气诀,呼脾气诀,嘻三焦诀,四季却病歌,养心坐功法,养肝坐功法,养胆坐功法,养脾坐功法,养肺坐功法,养肾坐功法,以及祝由灵符治病法等不传之秘。
第十五册《鬼神洞幽》十一卷
凡论何方鬼神之妨犯,而使家宅不安,或人口伤灾,或口舌官司,或瘟疫疾病,或穷困破财等凶咎,并附:曹子虚解禳通用法,张星元解禳通用法,镇诸怪符法,驱鬼祛病符法等不传之秘。
第十六册《词论通论》九卷
凡论兴词之因由、同谋、证人、辨护、拘禁、罪责、斗殴、胜负、牢狱、刑期、恩赦、和解等诸断。
第十七册《失盗钩匿》上下篇,十五卷
上篇:遗失占,六卷;凡论遗失何物,何人知情,何处匿藏,何方寻找,失于何处,能否寻回等诸断。
下篇:盗贼占,九卷;凡论盗贼之形性,男女、老少、高矮、胖瘦、独偷或合伙、初盗或老贼,何方人氏,从何处来,何处窝藏,何方有信息,何时能擒捕等诸断。
第十八册《遁避指南》上下篇,九卷
上篇:逃亡占,四卷;凡论逃亡之方向、远近、里数、何处、见否等诸断。
下篇:趋避占,五卷;凡论潜身避难,防非避讼,防火避焰,提防盗贼,御避灾患,戒防遗累,或祸端之因由,或避地之安危,或利何方向趋避,或何时可脱等诸断。
第十九册《行归音迹》上、中、下三篇,十八卷
上篇:出行占,七卷;所论水陆出行,或同行共处,或关隘津渡,以及出行之方向、地头、旅店、伴侣、图谋、留滞、通达、惊忧、盗失、财利、安危等诸断。
中篇:行人占,九卷,凡论行人之舟车、同伴、地头、在所、盘缠、音信、归期,或阻滞淹留,或非讼狱灾,或卧病伸吟,或贪花恋色,或转往他方,或漂泊无定,或满载而归等诸断。
下篇:音信寻人占,二卷,凡论行人音书远信,以及走失之人在何方、何处、何日归等诸断。
第二十册《杂占大全》六卷
占风水、耕种、谋望、斗殴、交友、寄物、祈怀、咀咒、修练……等等三十六卷类应用杂占


高清无水印资料下载购买请下拉到底部:
网站没有到的资料请加客服微信:rbt7688
1 (1).jpg

1 (2).jpg

1 (3).jpg

1 (4).jpg

1 (5).jpg

1 (6).jpg

1 (7).jpg

1 (8).jpg

1 (9).jpg
免责声明:
(1)站内所有资源均来自互联网收集或用户上传分享,本站不拥有此类资源的版权
(2)古籍国学资源网作为网络服务提供者,对非法转载,盗版行为的发生不具备充分监控能力.但是当版权拥有者提出侵权指控并出示充分版权证明材料时,古籍国学资源网负有移除盗版和非法转载作品以及停止继续传播的义务
(3)古籍国学资源网在满足前款条件下采取移除等相应措施后不为此向原发布人承担违约责任或其他法律责任,包括不承担因侵权指控不成立而给原发布人带来损害的赔偿责任
以上内容如果侵犯了你的权益,请联系客服微信:rbt7688 我们将尽快处理


服务说明:
(1)资源来源于网络公开发表文件,所有资料仅供学习交流;
(2)金钱仅用来维持网站运营/文件整理费,性质为用户友情赞助,非购买文件费用(1元=1金钱);
(3)极个别百度网盘分享链接失效,请加客服微信:rbt7688
(4)虚拟资源不是实物,不发快递,仅供百度网盘下载使用。
(5)不用担心不给资料,如果没有及时回复也不用担心,看到会立发给您,信誉值万金!

温馨提示:
部分玄学、武术、医学等资料非专业人士请勿模仿学习,仅供参考,安全至上

常见问题
(1)如何购买?
先注册→→后登录→→再点击【立即购买】进行付款。/或者也可以直接不注册,直接点击【立即购买】进行付款
(2)付完款后,在哪儿下载/获取资料?
方法① : 确认付款后→→点开紫色的【立即下载】→→点击进去就能看到资源获取的方式,保存下来就行。
方法② : 点击右上角【人像标志】,也就是登录处旁边的【提醒】→→→→购买记录→→下载。
方法③:加客服微信:rbt7688 直接发文件或者邮箱、QQ等多种方式直发。
(3)资源获取方式?
百度网盘发货(国内用户都是使用这个),非实物,无快递物流。因虚拟资源具有可复制性,一经发出,概不退换。
(4)金币是什么意思
1金币=1元。金币仅用来维持网站运营/文件整理成本,性质为用户友情赞助,非购买文件费用,购买即代表同意此观点

资源下载
(1)1金钱=1元。金钱仅用来维持网站运营/文件整理成本,性质为用户友情赞助,非购买文件费,购买即代表同意此观点
购买/下载后,任何问题联系客服微信:rbt7688
(2)建议登录下单,可随时再次查看下载地址。部分手机浏览器支付后无法自动跳转显示下载地址!(建议注册账号登录下单或者联系客服发送
(3)部分资料仅登录可见!







微信/支付宝购买

 支付下载 

您需要登录后才可以回帖 登录 | 立即注册

本版积分规则

QQ|手机版|古籍秘籍易学国学资源网 |网站地图

GMT+8, 2025-12-6 20:28 , Processed in 0.137378 second(s), 29 queries .

快速回复 返回顶部 返回列表